The most commonly used method for sulphur dioxide measurements in EMEP today is the alkaline impregnated filter method. This is the recommended method, preferably in combination with ion chromatography, because it combines a small extraction volume and low measurement uncertainty with a large air volume, and therefore gives a good measurement accuracy even at low sulphur dioxide concentrations. At sites with annual average above 10 µg S/m3 the absorbing solution method can still be recommended and would give satisfactory results. Only few of the EMEP sites experience such concentrations at present. The UV-fluorescence monitor is the recommended procedure in EU; and many sites in EMEP also prefer using this due to its convenient sampling procedure and high time resolution. However, one disadvantage is the need of regular maintenance and skilled workers. The monitor needs frequent calibration, which is often difficult because most of the background stations are in remote areas. The sensitivity of the monitor is generally not as good as the manual method, giving uncertain results at concentrations below 1 µg S/m3. UV-fluorescence is therefore not recommended on background stations within the EMEP network.
Nitric acid in the gaseous state readily reacts with other atmospheric constituents to form nitrates in the form of atmospheric particles. If ammonium nitrate is formed, the reaction is reversible, and its presence requires a dissociation product of gaseous nitric acid and ammonia, which in turn depends on temperature and relative humidity (Stelson and Seinfeld, 1982). Sampling artefacts due to the volatile nature of ammonium nitrate, and possibly due to interaction with other atmospheric constituents make separation of these gases and particles by a simple aerosol filter unreliable. This can be achieved using denuders where one takes advantage of the different diffusion velocities of gas and aerosol particles in a sampling device, which is simply a tube coated on the inside by an absorbing reagent, usually sodium chloride or sodium carbonate. The same sampling principle may also be used for sampling of ammonia, using citric, oxalic, or phosphoric acid as the absorbent. Because the diffusion speed of ammonia in air is about twice that of nitric acid, a shorter diffusion tube will achieve >95% absorption. If the flow is laminar, minimal deposition of particles occur, and if the tube has proper dimensions in relation to the flow rate and the diffusion speed of gaseous nitric acid in air, nitric acid is efficiently deposited to the walls of the tube.
Two different denuder systems are available for sampling and determination of gaseous nitric acid and ammonia. The first procedure uses simple cylindrical tubes, as introduced by Ferm (1979). The second procedure uses so-called annular denuders, where the air is passed through the annular space between two concentric cylinders as described by Allegrini et al. (1987). This arrangement allows the airflow rate to be increased, and makes the subsequent chemical analyses somewhat less demanding. Two large field intercomparisons have been made for gaseous nitric acid, one in Italy (Allegrini et al., 1989), and one in the USA (Hering et al., 1988). Reference is made to these publications for further information on the performances of different sampling systems. Methods for sampling and determination of ammonia have been compared in the field by Allegrini et al. (1992). The principles of using denuders are described in section 3.4.
Denuders can be rather impractical
and are relatively expensive, and as filter packs are mostly more
reliable and less demanding in terms of sampling and sample
preparation, this procedure is often chosen. However, since the
filter pack technique is poorer when it comes to separate gas and
particle phase, only the sum of nitric acid and nitrate and for
the sum of ammonium and ammonia are obtained. Information on the
partition between the gaseous and the particle formed may
sometimes be inferred also from filter pack data. This may be the
situation in areas where the concentration of gaseous ammonia is
usually high, or where the concentrations of both nitric acid and
ammonia gas concentrations are so low that the partial pressure
product necessary for ammonium nitrate to be present is not
reached. The separation of SO2/SO42-
is good in both techniques.
The first filter in the air stream is an aerosol filter for collecting the airborne particles containing sulphate, ammonium and nitrate. This is followed by an alkaline impregnated filter which will collect HNO3, SO2, HNO2, HCl, and other volatile acidic substances. Nitric acid and sulphur dioxide will react with potassium hydroxide on this impregnated filter to give potassium nitrate and potassium sulphite. The absorption of SO2 is quantitative at a relative humidity above 30% at temperature down to -10oC (Lewin et al., 1977). Oxidizing species in air e.g. ozone are believed to convert most of the sulphite to sulphate during the sampling. It is also possible to include a third acid-impregnated filter for alkaline air component such as NH3. Ammonia is effectively retained on a filter impregnated with citric or oxalic acid. When a 3-filter pack is applied the acid impregnated filter should be the last in the air stream
Since the filter pack method cannot separate gaseous nitrogen compounds from aerosols only the sum can be given. In other words, the concentration of nitrates in air equals the sum of the nitrate found on the aerosol filter and nitrate found on the alkaline impregnated filter. The same for ammonium where the sum of ammonium concentration equals the sum of ammonium collected on the aerosol front filter and ammonia collected on the acid impregnated filter.
The filter material should not
absorb SO2 and should have acceptable collection
efficiency for submicron particles. Cellulose filters are
acceptable for this purpose, e.g. Whatman 40 filters, but
membrane filters, e.g. teflon, are preferred.
During sampling, salts can react with aerosol particles containing sulphuric acid. The resulting volatile acid, e.g. nitric acid and hydrochloric acid will react with the potassium hydroxide on the impregnated filter to give potassium nitrate and potassium chloride. This will, however, not affect the measured concentration of sulphate in airborne particles or sulphur dioxide.
A bias may be introduced if the aerosol filter becomes wet during sampling since it is possible to have an absorption of sulphur dioxide on cellulose based filters. This gives an overestimation of the sulphate concentrations in aerosols and a corresponding underestimation of the sulphur dioxide. Another source of error could be that the absorption of sulphur dioxide on the impregnated filter is not 100 per cent effective. Experiments with a second KOH-impregnated filter behind the first have, however, not given measurable amount of sulphur dioxide.
It may be possible to loose
components before the analysis due to incomplete extraction from
the filter.
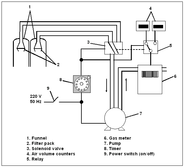
A diagram showing the sampling principle is given in Figure 3.2.1. The air intake should have a cylindrical, vertical section 15 cm wide and at least 25 cm high. This air intake reduce the sampling efficiency for particles larger than 10 µm a.e.d., such as soil dust particles, large sea spray droplets, large pollen, and fog droplets. The filter pack is placed directly in the air intake, and it should have separate supports for the aerosol and the impregnated filters in order to avoid contamination from one filter to the next. An exploded view of a filter pack and its components is shown in Figure 3.2.2.
It is important to avoid leaks in the filter pack. The filter pack in Figure 3.2.2 should be tightened to the torque specified by the producer. Care should be taken to avoid materials in the filter pack which may be a source of contamination or absorb sulphur dioxide or other air components which are to be determined. Teflon, polyethylene, polypropylene, PVC, and polycarbonate are recommended materials. Ordinary rubber and nylon contains sulphur and should be avoided. Nylon will absorb nitric acid.
Since the absorption of sulphur dioxide is only quantitative at relative humidities above 30, sampling with a filter pack should take place outdoor, only sheltered from the ambient air by the air inlet. Additions of glycerol may improve the absorption efficiency of the impregnated filter at low humidities. Typical air volume, sampling rate, and flow velocity through the filters are respectively 20 m3, 15 l/min., and 15 cm/s.
The filter pack should be
connected to the sampling line with an airtight seal, using
either a nut and gasket, or push-fitted tubing. The sampling line
connects the air intake and filter pack to a pump and a gas meter
in series. The pump should be a membrane pump of sufficient
capacity to allow 15 l/min. against a pressure difference of
10-20 kPA (0.1 atm.), which is the typical pressure drop across
two filters. It is essential that the pump is leakproof against
outside air in order to allow reliable metering of the air volume
at the outlet of the pump. A dry bellows-type gas meter may be
used for recording of the air sample volume. This is a relative
inexpensive instrument, which is readily available commercially.
The accuracy of commercial gas meters is typically within ± 5%;
calibration not less than once or twice a year is therefore
mandatory. Better accuracy is obtainable with a wet gas meter.
Both devices will record the air volume at the temperature and
pressure conditions in the pump. If the pump and gas meter is
kept at room temperature, no corrections are usually required,
and the air volume is then assumed to be the sample air volume at
20 °C. If deviations of more than ± 5 °C are expected, the
temperature in the gas meter surroundings has to be recorded and
the air volume corrected accordingly.

Figure 3.2.1: Sampling principle.

Figure
3.2.2: Filter pack with one aerosol filter and one
impregnated filter for gases.
In order to facilitate operation of the sampler, it is possible to connect two or more air inlet and filter pack units to the same pump and gas metering device, letting timers control valves. This enables a collection of samples (exposed filter packs) and an inserting of new filter packs at a convenient time and without interruption of the sampling process. A schematic indication of how this may be carried out is indicated in Figure 3.2.1.
It is possible to use mass flow controllers to control the sampling rate or to provide dynamic dilution of span gases for calibration purposes. In principle, these determine the heat capacity of the gas or air flowing through a capillary, and the temperature difference between two points is used to control the position of a needle valve. The disadvantage of this system is, besides the costs, the pressure differences 0.71.1 atm (1016 psi) required over the needle valve to make the control function reliable. This makes it impractical to use this type of device to control the sampling rate in front of the pump unless the needle valve is replaced by another control valve requiring less pressure drop. The device can, however, preferably be used at the outlet of the pump to keep the sampling rate constant over the sampling period. Low-pressure mass flow controllers are available. The flowmeter must be properly calibrated, and a suitable recording instrument added, if a mass flowmeter is to be used as the only measure of the sample volume.
A list containing only some of the suppliers of the various types of equipment is given below:
Prefilter for collection of aerosols:
Teflon filter by Gelman, Zefluor 2 µm.Cellulose filters for impregnation with potassium hydroxide to be used for sampling of sulphur dioxide:
47 mm Whatman 40 (W40) cellulose filter
Whatman International Ltd., Maidstone, EnglandFilter packs for two or three filters, with clamp and wrench:
NILU Products, P.O. Box 100, NO-2027 Kjeller, NorwayMembrane pump:
GAST, Model DOA-P101-BN
MFG. Corp., Benton Harbor, Mich. USAGas meter:
FLONIDAN
Gallus 2000 G1.6
Islandsvej 29
DK-8700 Horsens, DenmarkMass flow controller:
TYLAN GmbH
Kirchhoffstrasse 8
Eching, Germany
The sampler should be located at least 100 m from small-scale local sources, e.g. generators or houses heated with petroleum, coal, or wood.
Samplers for gas and aerosols should normally be located in a shelter with temperature regulation. The gas meter should be kept at 20 °C ± 5 C.
Nitric acid is very reactive and is readily absorbed by vegetation and by other surfaces. It is therefore particularly important for this species that the site is well exposed and is not sheltered by tall vegetation close to the sampler. Ammonia is emitted mainly from decomposition of urine, and from the application of manure. To find representative sites for this component may therefore be very difficult, as a basic rule the measurements at the site should not be influenced by emissions, which take place within a radius of 2 km from the site. Within this radius there should be no stabling of domestic animals, no grazing by cattle or sheep on fertilized pastures, and no application of manure to agricultural fields.
Even more pertinent to ammonia
than to other pollutants is the reporting of activities, which
could affect the data, e.g. spreading of manure in adjacent
agricultural areas. These data need to be flagged in the
database.
Mounting and dismounting of filter packs
It is recommended that the filter pack is assembled and dismounted in the laboratory only. When assembling the filter pack, the parts should be tightened to the torque specified by the manufacturer to prevent leaks. Airtight protection covers need to be mounted in both ends of the filter pack. One random selected complete filter pack should be checked every second week for leaks. Each filter pack should be tagged with the site code in the laboratory before it is sent to the site.
Exposed filter packs should be opened in the laboratory and the filters put into plastic bags, which in advance, have been tagged with site code, start and stop of sampling, and filter type. The filters are now ready for a chemical treatment and the analysis. Normally there is a delay between this step and the time when actual chemical treatment and the analysis takes place. During this period the samples are to be kept in a refrigerator.
It is important to wear a pair of disposable plastic gloves when working with the filters and the filter packs.
Changing of filter packs at the site
At the site, and before the filter pack is mounted in the sampling line, the site operator has to write the start date on the filter pack, and likewise the end date of the sampling after exposure. Further details are to be written into the site journal and copied into site reporting forms, worked out for this purpose.
The sampling procedures may be slightly different from one air sampling system to another. When a two line sampling system is used with a timer, the exposure of a new filter pack starts at a preset time; an example of a recommended procedure at the site is as given below. The start and end of exposure should be between 0700 - 0900 local time:
Transportation of samples from and to the laboratory
It is recommended to ship a one weeks supply of filter packs from the laboratory to the site, and vice versa, once every week. One extra filter pack, complete with filters, should be added as a field blank (i.e. one field blank every week). This filter pack should be handled in every way as the ones to be exposed, returned with the other filter packs from the batch, dismounted, and the filters given the same chemical treatment and analysis as the exposed filters.
Once every week the field operator fetch the seven exposed filters from the refrigerator as well as the one unexposed (field blank) filter pack, and put the filter packs in the transportation box together with the site reporting form covering the past week. Field reporting forms should always be put in a separate plastic bag in case of accidental leaks from precipitation samples, which may be contained in the same transportation box. Mail the transportation box to the laboratory.
The sampling equipment should be maintained in accordance with the manufacturers specifications.
Accurate volume readings are important for the resulting measurements accuracy, and the volume meters may need frequent calibrations. Calibrations should under no circumstances be less frequent than once or twice every year. The accuracy must be better than 5%.
Written instructions for maintenance and calibration need to be available at the site, and the operator should be familiar with the contents.
Use of filter blanks
It is recommended that 10 samples
from each new batch of filters are analysed as laboratory filter
blanks. The purpose of the filter blanks is to control the
quality of the filters rather than to estimate the laboratory
detection limit. Normally, the blank values should be
sufficiently low that their values can be ignored. If high blank
values are found a problem has occurred which has to be
identified and solved, e.g. by using filters or chemicals from
another batch, and by inspection of the routines in the
laboratory.
Cellulose filters may contain small amounts of impurities and a cleaning of filters may therefore be necessary before use.
The cleaning process is demanding and it may therefore be omitted if the filter blanks from a new batch of filters are lower than the requirements given in Table 3.2.1, otherwise cleaning must be done. Following the cleaning, some filters are impregnated and the requirements for impregnation and extraction solutions are the same as those given in Table 3.2.1. See more details in 3.2.8 and 3.2.9.
Membrane filters should be tested at regular intervals in order to see if impurities occur. NILU make use of teflon filters; impurities have not been detected so far.
Table 3.2.1: Recommended requirements.
| SO42- | Better than 0.01 µg S/ml |
| Cl- | 0.01 µg Cl/ml |
| NO3- | 0.01 µg N/ml |
| NH4+ | 0.01 µg N/ml |
General procedure for cleaning
Figure 3.2.3 presents equipment, made of teflon, used for cleaning of filters. The procedure below is designed for cleaning of Whatman-40 cellulose filters (W40). The contents from 5-7 packages of W40 filters are put into a filter container with a perforated disk in each end, after which 20 litres of the cleaning solution is pumped through the filter container. After cleaning the filters should be rinsed with 20 litres deionized water.
After the rinsing, the clamps in both ends of the container should be tightened in order to force as much water as possible out from the filters. A filter pack loaded with aerosol filter, an alkaline impregnated filter, and an acid impregnated filter should next be connected to the intake side of the filter container, and the outlet side be connected to a vacuum pump in order to remove most of the remaining water in the cleaned filters.

Figure 3.2.3: Equipment for cleaning of filters.
In the final step the container
which still should be connected to the vacuum pump and filter
pack, should be heated to, and kept overnight, at 100°C with the
vacuum pump operating, in order to remove the last trace of
water. After cooling the cleaned filters should be put in a
plastic bag equipped with a zipper and the bag put in a
desiccator. The filters inside the bag must not be bent, but must
remain flat as in the original package. Before the filters are
put into the bag, the bag should be labelled with the date of
cleaning and cleaning reagent.
Tweezers and disposable gloves must always be used when handling filters.
After the cleaning 5 filters should be selected at random and the concentrations of cations and anions contained in the filters be determined as described in this manual. The concentrations found should be filled into the laboratory journal, and the label on the plastic bag signed and dated again if the concentrations are less than the detection limit of the analytical instrument. If one of the concentrations is higher than the detection limit, the cleaning must be repeated.
Cleaning of filters to be impregnated with KOH
The cleaning procedure is as described above. In order to avoid excessive blank values, the Whatman 40 filters used for acid gases may be washed with 20 litres 0.1 M K2CO3 (14 g K2CO3 pr. litre solution). After cleaning the filters should be rinsed with 20 litres water. If the SO2, HNO3 or NH3 concentrations are high in the laboratory, the filters should be dried in a dry box, which is supplied with clean air.
Cleaning of filters to be impregnated with citric or oxalic acid
The cleaning procedure is as
described above. The filters should be cleaned with 20 litres 0.1
M citric acid (25 g citric acid dihydrate pr. litre solution) if
citric acid will be used for impregnation, or with 20 litres 0.1
M oxalic acid (13 g oxalic acid dihydrate pr. litre solution).
After cleaning the filters should be rinsed with 20 litres
of water.
General procedure for impregnation solutions
A solution to be used for impregnation should be prepared the same day the impregnation of a new series of filters will take place. Before impregnation, the purity of the solution must be checked by adding 300 µl of the impregnation solution to 10 ml of the extraction solution, and the sample analysed. The following requirements to the impregnation solution should be met, or the concentrations should be lower than the instrument detection limit, table 3.2.1.
The recommended chemicals are given in Table 3.2.2.
Table 3.2.2: Specifications for chemicals used for impregnation.
Reagent |
Quality |
Formula |
Oxalic acid |
Merck p.a. 495 or corresponding |
Oxalic acid dihydrate |
Citric acid |
Merck p.a. 244 or corresponding |
Citric acid monohydrate |
Potassium hydroxide |
Merck p.a. 5033 |
KOH |
The concentrations found should be
filled into the laboratory journal.
Particularly for ammonia the chance for contamination is severe, since the ammonia concentrations in laboratories may reach 1-5 µg N/m3. The control of the impregnation solution is therefore important. The chemicals used for impregnation should be stored separated from the other laboratory chemicals. In particular, the container with citric or oxalic acid should be stored together with the impregnated filters in a desiccator.
Procedure for impregnation of filters
The following procedure may be used. The filters are placed on plastic stoppers after which the impregnation solution is dripped on the filter (Table 3.2.3). The filters may be dried in air, usually is half an hour sufficient. When the filters are dried they must be placed in plastic bags and the zippers closed. The bags should be labelled with type of filters and date.
Disposable gloves and tweezers must be used when handling the filters.
Table 3.2.3: Impregnation of filters and recommended requirements to purity
after impregnation.
Impregnation solution |
Preparation |
Volume |
Purity requirement: |
Alkaline filter: |
|
|
|
Acid filter: |
|
|
|
or |
|
|
|
Control of the impregnated filters
5 filters should be selected at random after drying and analysed as described in this manual. The requirements to the concentrations are identical to the ones in Table 3.2.3. If the requirements are not met, all filters from the impregnation batch should be thrown and a new batch made. If the requirements are met the bags should be signed and dated.
The concentrations found should be filled into the laboratory journal.
Storage of impregnated filters
The bags filled with impregnated filters should be stored in desiccators; alkaline impregnated filters in one desiccator and acid impregnated ones in a different one. The desiccator for KOH impregnated filter should have KOH at the bottom, and the one for acid impregnated filter should have citric acid at the bottom.
Impregnated filters should not be stored more than 3 months before use.
Summary of quality assurance steps
This section contains procedures for extraction of major ions collected on impregnated filters as well as on aerosol prefilters. The procedures given are the recommended ones provided that the procedures for filter impregnation in Section 3.2.8 have been followed.
Preparation of extraction solutions
When the impregnation has followed
the procedures in Section 3.2.8, the composition and amount of
extraction solutions to be used are given in Table 3.2.4. The
exposed impregnated filters are put into a test tube or other
suitable vessel with additions of extraction solution. Hydrogen
peroxide solution is used for the alkaline filter in order to
oxidize any remaining sulphite to sulphate. The quality
requirements to the reagents are given in Table 3.2.1.
Table 3.2.4: Preparation and amount of extraction solutions for impregnated filters.
Filter/solution |
Preparation of extraction solution |
Amount of extraction solution |
Alkaline filter |
10 ml 30% H2O2 to 1000 ml deionized water |
10.0 ml |
Acid filter |
10 ml 1.0 M HNO3 to 1000 ml deionized water |
10.0 ml |
After preparation, and every day
before use, 10.0 ml of the extraction solution should be analysed
for major ions and the concentrations meet the requirements in
Table 3.2.1 or be less than the instrument detection limit.
The volume of the extraction solution used must be measured accurately and a 10 ml precision dispenser should therefore be used. It is known that the accuracy will change with time, and the accuracy needs to be checked at regular intervals by weighing 10.0 ml of the extraction solution.
The results of the control
analysis of the extraction solution and the control of the
dispenser volume should all be recorded in the laboratory
journal.
Table 3.2.5: Specifications for chemicals used during extraction.
Reagent |
Quality |
Formula |
| Hydrogen peroxide | Merck p.a. perhydrol or corresponding |
H2O2 |
| Nitric acid | Merck p.a. or corresponding |
HNO3 |
| Water | MilliQ-water or corresponding |
Extraction procedure for impregnated filter
The impregnated cellulose filters requires careful treatment not to loosen fibres, which will cause problems during the analysis. The filters should be extracted the day they are removed from the filter pack. They may be put directly into tubes made of polystyrene fit for an autosampler. The stopper should be put on the tube at once and even before adding the extraction solution unless this is done at the same time. Disposable gloves and tweezers should be used when handling the filters. The tubes should be kept in the refrigerator until analysis.
The filters are extracted with 10.0 ml of the extraction solution. The rack with the stopped tubes should be turned upside down by hand at least ten times to ensure a good extraction and a homogeneous solution. It is necessary to allow any fibres in the solution to settle a few hours before analysis. If the analysis will be performed the next day or later, the tubes should be stored in a refrigerator.
The solution containing the acid filters may develop gases during and after the extraction. It is advisable to keep the tubes with the solutions in the laboratory a few hours, then to open the tubes to let any gas out before the tubes are moved to the refrigerator.
Extraction from aerosol filter
The aerosol teflon filters should be given an ultrasonic treatment before analysis in order to obtain a complete extraction. The filters are put into tubes and 10.0 ml of deionized water added. The rack with the tubes should be kept in the ultrasonic bath for 30 minutes.
Pre-treatment of acid extract before analysis
The extracts from the acid-impregnated filters may be too acidic to allow a direct analysis with the indophenol method. It is necessary to raise pH ~12 with a buffer, or with potassium hydroxide, for analysis. When preparing control samples (spiked samples) for this analysis, the same extract, and additions of buffers or potassium hydroxide should be applied.
Pre-treatment of KOH extracts before analysis
For some analytical methods e.g. the spectrophotometric Griess method (section 4.3 an 4.11.3), the extract from an alkaline impregnated filter has a too high pH to permit a direct analysis. In this case, 10 mg moist cation resin is added to the solution in the tube and the contents mixed well. After half an hour check the pH in the solution by putting one drop on a pH-paper. The solution should be neutral or slightly acid.
The remaining ion exchange material is completely removed during analysis when the sample is passed through the column of ion exchange resin.
Summary of quality assurance steps
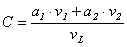
The concentrations of the sum of nitric acid and nitrate in aerosols in µg N/m3 is obtained by adding the nitrate from the aerosol filter extract and the alkaline filter extract. If
a1
expresses the concentration of nitrate from the aerosol filter in
mg N/litre,
v1 is the aerosol filter extraction
volume in ml
a2 expresses the concentration
of nitrate from the impregnated filter in mg N/litre,
v2 is the impregnated filter
extraction volume in ml,
vL is the air volume through the
sampler, in cubic meter at approximately 20°C and corrected for
height from elevated sites,
then the total nitrate concentration in µg N/m3 is given by the following expression:
![]()
The concentrations of the sum of ammonia and ammonium in aerosols in µg N/m3 is obtained by adding the ammonium from the aerosol filter extract and from the acid filter extract. It can be calculated similar as for total nitrate.
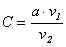
The concentrations of sulphur dioxide in the air sample expressed in µg S/m3 is given by:
![]()
a is concentration of
sulphur in mg/l read from the calibration curve,
v1 is the liquid volume containing the sulphate ions,
e.g. 10 ml if a 10 ml extraction solution were used,
v2 is the air volume from the sampler, in cubic meter
at approximately 20 °C, and corrected for height from elevated
sites.
Handling of filters and filter packs in the laboratory
Handling of filters and filter packs in field
Maintenance and calibration of field equipment
Field blanks
Allegrini, I., de Santis, F., di Paolo, V., Febo, A., Perrino, C. and Pozzanzini, M. (1987) Annular denuder method for sampling reactive gases and aerosols in the atmosphere. Sci. Tot. Environ., 67, 1-16.
Allegrini, I., Febo, A., Perrino, C., eds. (1989) Field intercomparison exercise on nitric acid and nitrate measurements. Rome, September 18-24, 1988. Brussels, CEC (Air Pollution Research Report, 22).
Allegrini, I., Febo, A., Perrino, C., eds. (1992) Field intercomparison exercise on ammonium measurement. Rome, April 29-May 4, 1990. Brussels, CEC (Air Pollution Research Report, 37).
Ferm, M. (1979) Method for determination of atmospheric ammonia. Atmos. Environ., 13, 1385-1393.
Hering, S.V. et al. (1988) The nitric acid shootout: field comparison of measurement methods. Atmos. Environ. 17, 2605-2610.
Johnson, D.A. and Atkins, D.H.F. (1975) An airborne system for the sampling and analysis of sulphur dioxide and atmospheric aerosols. Atmos. Environ., 9, 825-829.
Lewin, E. and Zachau-Christiansen, B. (1977) Efficiency of 0.5 N KOH impregnated filters for SO2-collection. Atmos. Environ, 11, 861-862.
Nodop, K. and Hanssen, J.E. (1986) Field intercomparison of measuring methods for sulphur dioxide and particulate sulphate in ambient Air. Lillestrøm, Norwegian Institute of Air Research (EMEP/CCC Report 2/86).
Semb, A., Andreasson, K., Hanssen, J.E., Lövblad, G. and Tykesson, A. (1991) Vavihill, Field intercomparison of samplers for sulphur dioxide and sulphate in air. Lillestrøm, Norwegian Institute of Air Research (EMEP/CCC Report 4/91).
Sirois, A. and Vet, R.J. (1994) Estimation of the precision of precipitation chemistry measurements in the Canadian air and precipitation monitoring network (CAPMON). In: EMEP Workshop on the Accuracy of Measurements. Passau, 1993. Edited by T. Berg and J. Schaug. Kjeller, Norwegian Institute for Air Research (EMEP/CCC Report 2/94). pp. 67-85.
Stelson, A.W. and Seinfeld, J.H. (1982) Relative humidity and temperature dependence of the ammonium nitrate dissociation constant. Atmos. Environ., 16, 993-1000.
Vet, R.J. (1988) The Precision and comparability of precipitation chemistry measurements in the Canadian air and precipitation monitoring network (CAPMON). In: Expert Meeting on sampling, chemical analysis and quality assurance, Arona, Italy, October 1988. Edited by K. Nodop and W. Leyendecker. Lillestrøm, Norwegian Institute for Air Research (EMEP/CCC-Report 4/88). pp. 177-192.
Vet, R. and McNaughton, D. (1994) The precision, comparability and uncertainty of air and precipitation chemistry measurements made during the Canadian-United States eulerian model evaluation field study (EMEFS). In: EMEP Workshop on the accuracy of measurements. Passau, 1993. Edited by T.Berg and J.Schaug. Kjeller, Norwegian Institute for Air Research (EMEP/CCC Report 2/94). pp. 115-134.